column
Study on force spectrum characteristics of a pump-jet under inflow turbulence
SHI Shuaikang, HUANG Xiuchang, RAO Zhiqiang, HUA Hongxing
2022, 17(1): 1-10. DOI: 10.19693/j.issn.1673-3185.02249
Abstract PDF
Hydrodynamic performance analysis of waterjet propulsor inlet duct
QIU Jitao, YIN Xiaohui, WANG Renzhi
2022, 17(1): 11-17. DOI: 10.19693/j.issn.1673-3185.02269
Abstract PDF
Influence of ship wake on hydrodynamic performance of cycloidal propeller
HUANG Lu, CHEN Yihong, ZENG Ke, LIU zhuqing
2022, 17(1): 18-24. DOI: 10.19693/j.issn.1673-3185.02151
Abstract PDF
Numerical analysis on bending-torsional coupling stiffness characteristics of composite propeller
HU Xiaoqiang, HUANG Zheng, LIU Zhihua
2022, 17(1): 25-35. DOI: 10.19693/j.issn.1673-3185.02224
Abstract PDF
Propeller optimization design based on the adjoint method
WANG Rui, XIONG Ying
2022, 17(1): 36-41. DOI: 10.19693/j.issn.1673-3185.02131
Abstract PDF
Influence of lift distribution coefficient on hydrodynamic performance of propeller in forward and astern mode of operation by numerical analysis
HE Wei, GUO Jiawei, HU Xiaofei, Liu Mingjing, BAI Tiechao, LI Ziru
2022, 17(1): 42-50. DOI: 10.19693/j.issn.1673-3185.02288
Abstract PDF
Numerical simulation of dynamic performance of trans-media unmanned vehicle during vertical take-off from water
QIU Lei, ZHENG Chaosheng
2022, 17(1): 51-59. DOI: 10.19693/j.issn.1673-3185.02229
Abstract PDF
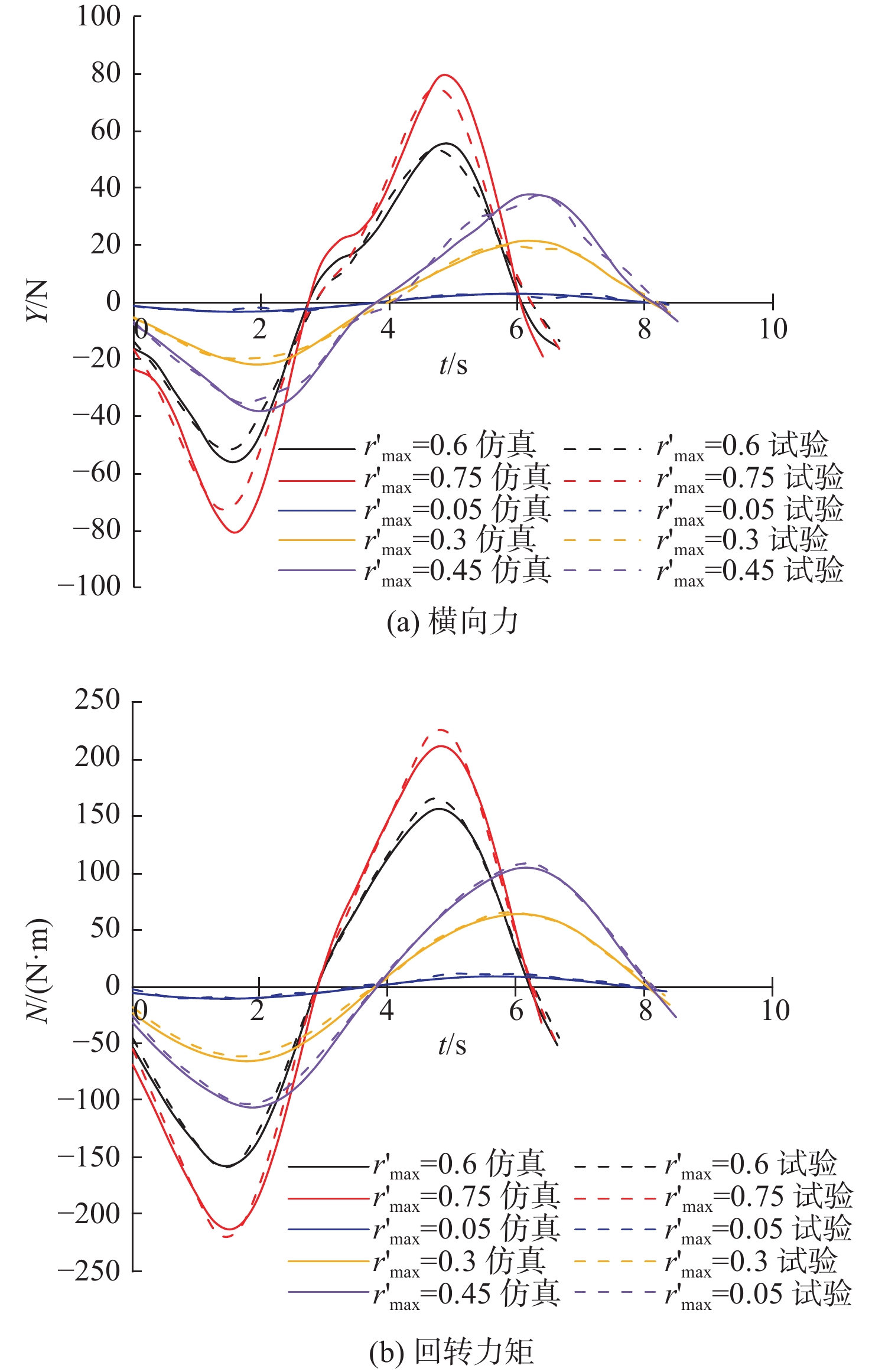
Numerical solution and sensitivity analysis of hydrodynamic force derivatives on maneuverability prediction
SUN Hanbing, XIAO Jiafeng, WANG Wei, LIU Weijie, ZHENG Xing
2022, 17(1): 60-70. DOI: 10.19693/j.issn.1673-3185.02243
Abstract PDF
Ship course sliding mode control system based on FTESO and sideslip angle compensation
CHU Ruiting, LIU Zhiquan
2022, 17(1): 71-79. DOI: 10.19693/j.issn.1673-3185.02267
Abstract PDF
Effects of mooring systems on dynamic response of wave energy converter
LIAN Yushun, ZHANG Bin, ZHENG Jinhai, LIU Haixiao, MA Gang
2022, 17(1): 80-90. DOI: 10.19693/j.issn.1673-3185.02223
Abstract PDF
Numerical simulation of flows around a finite-length cylinder with free surface
CHEN Songtao, ZHAO Weiwen, WAN Decheng, GAO Yangyang
2022, 17(1): 91-98. DOI: 10.19693/j.issn.1673-3185.02274
Abstract PDF
Parametric design method for multiple period stable numerical wave-generation
LYU Lei, CHEN Zuogang
2022, 17(1): 99-107. DOI: 10.19693/j.issn.1673-3185.02162
Abstract PDF
Creep behavior analysis of conical observation window for human occupied vehicle based on ABAQUS
DU Qinghai, JIANG Haigang, HU Xiaokang
2022, 17(1): 108-116. DOI: 10.19693/j.issn.1673-3185.02247
Abstract PDF
Modelling methods for complex interconnection of very large floating structures based on discrete-module-beam hydroelasticity theory
CHEN Yongqiang, ZHANG Yu, ZHANG Xiantao
2022, 17(1): 117-125. DOI: 10.19693/j.issn.1673-3185.02230
Abstract PDF
Influence of allowable stress on structural design of ring-stiffened cylindrical shells
LI Sheng, WANG Zhiqiang, YIN Hong
2022, 17(1): 126-131. DOI: 10.19693/j.issn.1673-3185.02239
Abstract PDF
Sound absorption performance analysis of anechoic coating under hydrostatic pressure considering cavity pressure
DONG Wenkai, CHEN Meixia
2022, 17(1): 132-140. DOI: 10.19693/j.issn.1673-3185.02186
Abstract PDF
Leakage rate index allocation of reactor safety vessel for floating nuclear power plants
JI Gang, SU Xiaoliang, LI Haidong, XU Feng, TAN Mei
2022, 17(1): 141-146. DOI: 10.19693/j.issn.1673-3185.02194
Abstract PDF
An improved random forest-Monte Carlo method and application for structural reliability analysis of A-type independent liquid tank support structure
LI Xuejian, QIN Bin, XIAO Yifeng, FU Zekun
2022, 17(1): 147-153. DOI: 10.19693/j.issn.1673-3185.02181
Abstract PDF
Simulation analysis on water entry loads of high-speed M-boat based on SPH method
YANG Yifan, CHEN Sangui, ZHOU Weixing, ZHANG Tao
2022, 17(1): 154-165. DOI: 10.19693/j.issn.1673-3185.02227
Abstract PDF
Application research on active disturbance rejection control algorithm and test of electro-hydraulic steering gear
CHEN Zongbin, LIAO Jian, LIU Banghui
2022, 17(1): 166-175. DOI: 10.19693/j.issn.1673-3185.02222
Abstract PDF
Ship power risk assessment system based on proportional pseudo time-series algorithm
ZHAN Jinhao, LI Weibo, LI Qi, ZOU Zhenjie, SUN Wanfeng
2022, 17(1): 176-186. DOI: 10.19693/j.issn.1673-3185.02285
Abstract PDF
Optimal design of ship-engine-propeller matching for inland ships under multiple operation conditions
SUN Lin, CHEN Hui, GUAN Cong
2022, 17(1): 187-195. DOI: 10.19693/j.issn.1673-3185.02282
Abstract PDF
Influence of back-steam control technology on marine steam power system
SONG Hanjiang, ZHANG Guolei, ZENG Shuai
2022, 17(1): 196-202. DOI: 10.19693/j.issn.1673-3185.02212
Abstract PDF
Confidence check-adaptive federated Kalman filter and its application in underwater vehicle integrated navigation
CHEN Shuai, WANG Ning, CHEN Tingkai, YANG Yi, TIAN Jiahe
2022, 17(1): 203-211. DOI: 10.19693/j.issn.1673-3185.02216
Abstract PDF
Fusion guiding technology solution and algorithm for underwater docking of autonomous underwater vehicles
ZHAO Rui, XU Jian
2022, 17(1): 212-220. DOI: 10.19693/j.issn.1673-3185.02318
Abstract PDF
Joint estimation for DOA and polarization parameters of orthogonal dipole array based on compressive sensing
WANG Weitong, YANG Jian, GUO Xiaoran, LIU Lutao
2022, 17(1): 221-226. DOI: 10.19693/j.issn.1673-3185.02262
Abstract PDF
Wide-area ship target recognition method based on motion and appearance features
YAN Ronghui, XIE Haicheng, HUA Minheng, YANG Jianfeng
2022, 17(1): 227-234. DOI: 10.19693/j.issn.1673-3185.02320
Abstract PDF