掠入射下舰船运动对本体雷达散射截面积概率密度的影响

Influence of ship motion on radar cross section probability density under grazing incidence

  • 摘要:
      目的  航行运动产生的姿态变化会导致对自身雷达散射截面积(RCS)概率密度发生变化,因此有必要掌握舰船在各种运动工况时对掠入射下自身的RCS概率密度的影响程度。
      方法  利用准静态的思路,构建水动力和电磁散射特性联合仿真模型及计算流程,选取掠入射下10 GHz连续波作为探测雷达波威胁,对不同统计时间、海况、航速、航向等参数下的舰船本体RCS概率分布进行对比和分析。
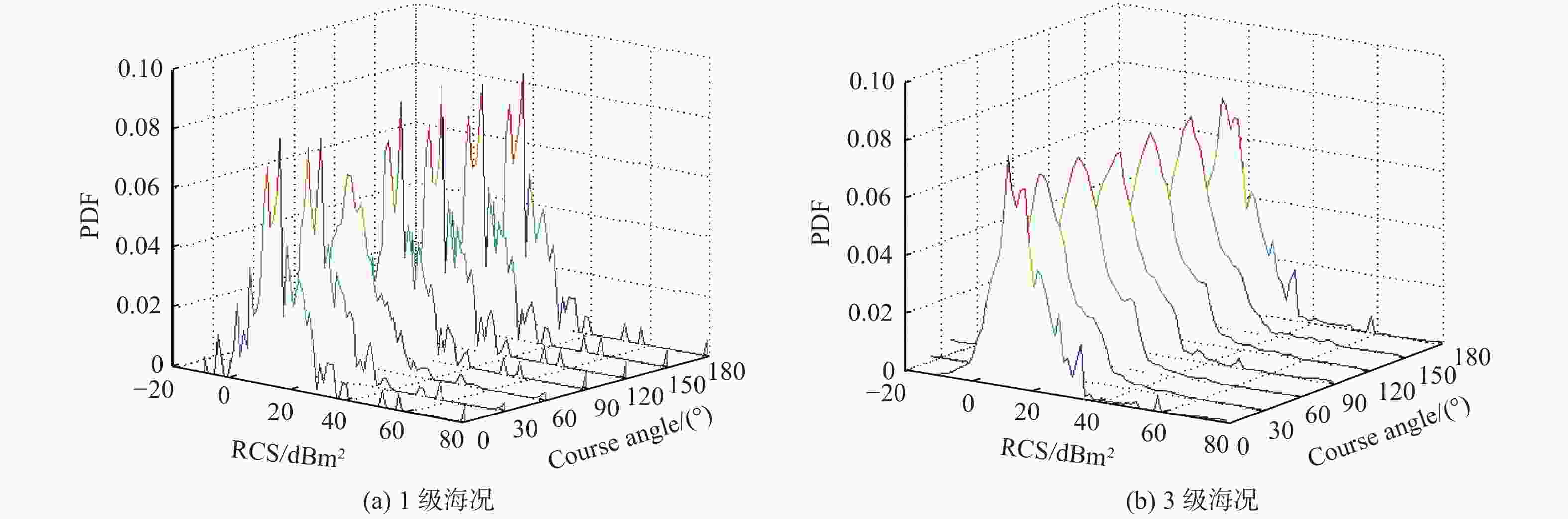
      结果  结果表明,对数正态分布模型可较好地模拟船模静态RCS分布特性,统计时间大于250 s后动态RCS概率分布基本稳定;在低海况下及随浪或顶浪航行时动态RCS概率分布曲线存在“毛刺”现象。
      结论  研究表明,航速对舰船RCS概率密度分布的影响可以忽略;浪向角对舰船RCS概率密度分布的影响在较高海况时才明显;海况增加使得RCS分布概率曲线越来越顺滑;统计时间对RCS概率密度分布的影响较大,需积累足够的数据进行试验或仿真才能准确掌握舰船RCS概率分布特性。

     

    Abstract:
      Objectives  Changes in attitude caused by sailing motion will lead to changes in the probability density of the radar cross section (RCS) of a ship. As such, it is necessary to master the influence degree of various motion conditions on the probability density of the RCS of a ship under grazing incidence.
      Method  Using the quasi-static method, a hydrodynamic and electromagnetic scattering characteristic co-simulation model and calculation process are constructed. A 10 GHz continuous wave at grazing incidence is selected as the radar detection wave threat, and the RCS probability distributions of the ship's body under different statistical times, sea states, speeds, headings and other parameters are compared and analyzed.
      Result  A lognormal distribution model is used to simulate the distribution characteristics of the static RCS of the ship model. The probability distribution of the dynamic RCS is basically stable when the statistical time is longer than 250 seconds. There exists a "burr" phenomenon in the dynamic RCS probability distribution curve under low sea states, following waves or beam sea drifting conditions.
      Conclusion  The effects of the ship's speed on its RCS probability density distribution can be ignored. The influence of the sea wave direction angle on the RCS probability density distribution is obvious only in high sea states. The increase of the sea state makes the RCS distribution probability curve increasingly smooth. Statistical time has a great influence on the RCS probability density distribution, so it is necessary to accumulate sufficient data to carry out a test or simulation that can provide an accurate grasp of a ship's RCS probability distribution characteristics.

     

/

返回文章
返回