结合Savitsky方法和重叠网格技术的滑行艇阻力数值计算与分析

Numerical calculation and analysis of resistance performance of planing craft combining Savitsky method and overset grid technology

  • 摘要:
      目的  为提高数值预报精度,对滑行艇的静水阻力高精度数值模拟方法进行研究。
      方法  应用计算流体动力学(CFD)方法,结合Savitsky方法和重叠网格技术,对滑行艇在静水中的三维黏性流场进行数值模拟,并对不同载荷系数和航速下滑行艇的流场特性进行分析。
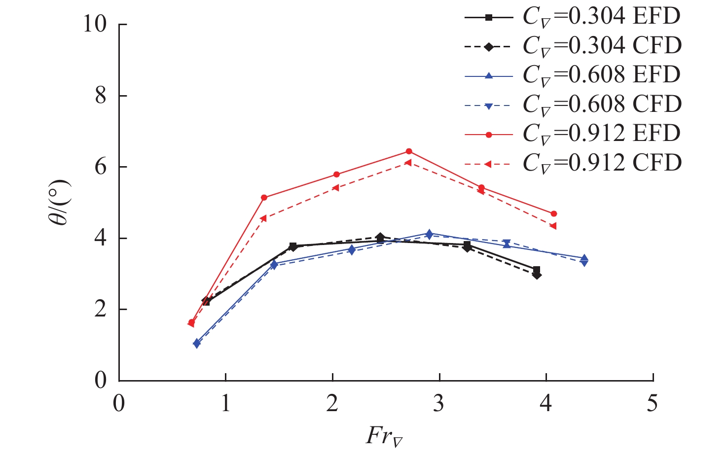
      结果  结果显示,滑行艇的阻力、升沉及纵倾角等计算结果与试验结果吻合良好,艇底的喷溅现象及水气分布模拟正常,表明采用所提方法可以准确、有效地预报滑行艇的阻力性能;随着载荷系数的增加,龙骨线压力系数的峰值增加,压力中心位置逐渐前移;随着航速的增加,龙骨线压力系数的峰值减小,压力中心位置逐渐后移,驻点线与中纵剖面的夹角减小,艇后“空穴”的深度减小、长度增大。
      结论  所做研究可为滑行艇阻力预报提供一种准确、有效的数值计算方法,能为滑行艇水动力性能数值研究提供技术支撑。

     

    Abstract:
      Objective  In this paper, the hydrostatic resistance of a planing craft is studied using the high-precision numerical simulation method to improve the numerical prediction accuracy.
      Methods  The three-dimensional viscous flow field of a planing craft in calm water is numerically simulated using the computational fluid dynamics (CFD) method combined with the Savitsky method and overset grid technique, and the flow field characteristics of the craft under different load coefficients and speeds are analyzed.
      Results  The calculated results of the resistance, sinkage and trim angle of the planing craft are in good agreement with the experimental results, and the spray phenomenon and distribution of water and air on the bottom of the craft are simulated normally, which shows that this method can accurately and effectively predict the resistance performance of planing craft. With the increase in the load coefficient, the peak value of the pressure coefficient on the keel increases, and the position of the pressure center moves forward. With the increase in speed, the peak value of the pressure coefficient on the keel decreases, the position of the pressure center gradually moves towards the stern, the angle between the stagnation line and the longitudinal section in the center plane decreases, the depth of the cavity behind the transom decreases, and the length of the cavity increases.
      Conclusions  This study provides an accurate and effective numerical calculation method for the resistance prediction of planing craft, and can provide technical support for the numerical study of the hydrodynamic performance of such craft.

     

/

返回文章
返回