基于SPH方法的M型快艇入水载荷仿真分析

Simulation analysis on water entry loads of high-speed M-boat based on SPH method

  • 摘要:
      目的  为研究M型快艇典型截面结构入水过程中受到的水动力载荷,
      方法  基于光滑粒子动力学(SPH)液−气两相流算法,模拟平板和弓形模型的入水过程,以验证所用算法的精确性。在此基础上,模拟M型快艇典型截面结构的入水过程,并与相关文献的试验结果进行比较。
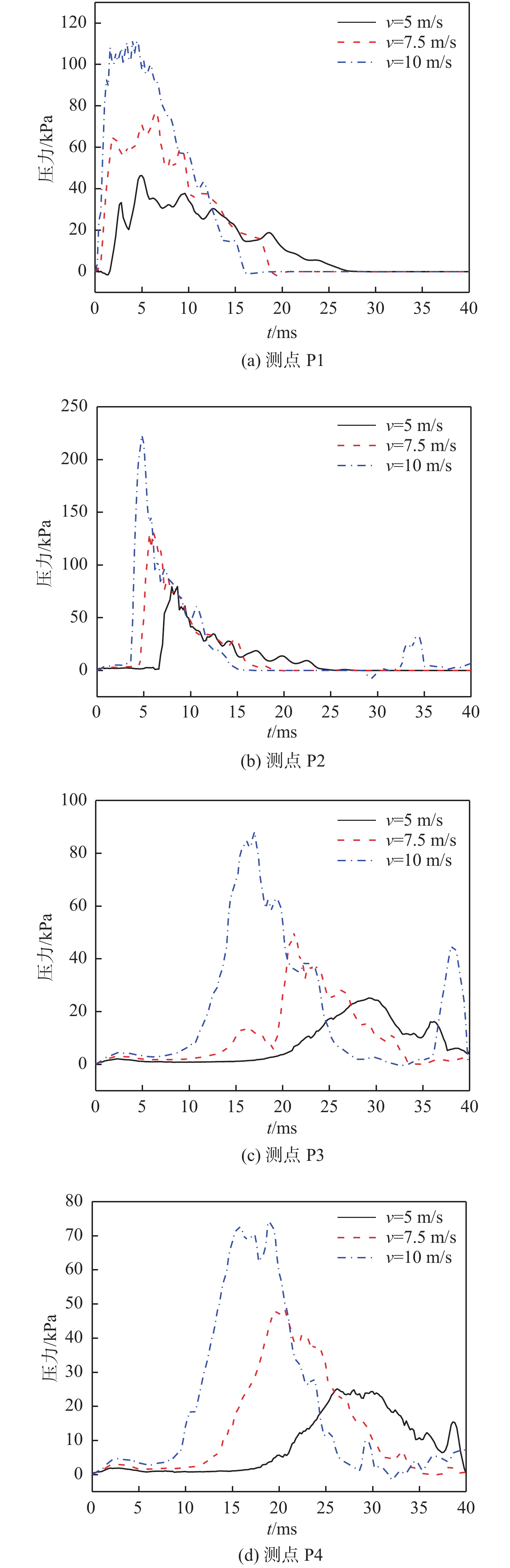
      结果  结果显示:两种结构入水过程的仿真结果与试验结果吻合较好。M型快艇入水过程中存在二次砰击现象, 即在主船体斜升角较大时会导致第1次砰击载荷较小,若斜升角过大时第2次砰击过程中结构则受到的砰击载荷会显着增加。
      结论  研究结果表明,SPH两相流算法可以很好地模拟M型快艇入水过程,斜升角的设计大小应适当。

     

    Abstract:
      Objectives  This study analyzes the hydrodynamic loads of a typical cross-section structure of a high-speed M-boat during water entry.
      Methods  Based on the smooth particle dynamics (SPH) liquid-gas two-phase flow algorithm, simulations of both flat plate and arced structure water entry are carried out to verify the accuracy of the algorithm. On this basis, a typical cross-section structure water entry of the high-speed M-boat is simulated, and the results are compared with the experimental data available in literatures.
      Results  The simulation results of both flat plate and arced structure water entry are in good agreement with the experimental data. A second slamming phenomenon occurs during water entry of the high-speed M-boat, that is, a larger dead-rise angle of main hull would make the first slamming load smaller, but if the dead-rise angle is too large, the load on the structure during the second slamming will increase significantly.
      Conclusions  The SPH two-phase flow algorithm can accurately simulate the water entry of a high-speed M-boat. It is suggested that the dead-rise angle of a high-speed M-boat should be designed appropriately.

     

/

返回文章
返回