复合材料螺旋桨弯扭耦合刚度特性分析

Numerical analysis on bending-torsional coupling stiffness characteristics of composite propeller

  • 摘要:
      目的  复合材料螺旋桨的弯扭耦合变形程度反映了桨叶的刚度特性,而桨叶刚度特性又与其水动力性能存在一定的相关性,将从刚度的角度对复合材料螺旋桨的纤维铺层进行优化设计。
      方法  首先,以DTMB 4383复合材料螺旋桨为研究对象,基于复合材料螺旋桨流固耦合自迭代算法,构建桨叶弯扭刚度数值计算方法;然后,分别在桨叶铺设单向碳纤维布或正交碳纤维布这2种情况下,对不同铺层方案桨叶的弯扭刚度进行数值计算,并研究桨叶的弯扭刚度特性以及其与水动力性能之间的对应规律。
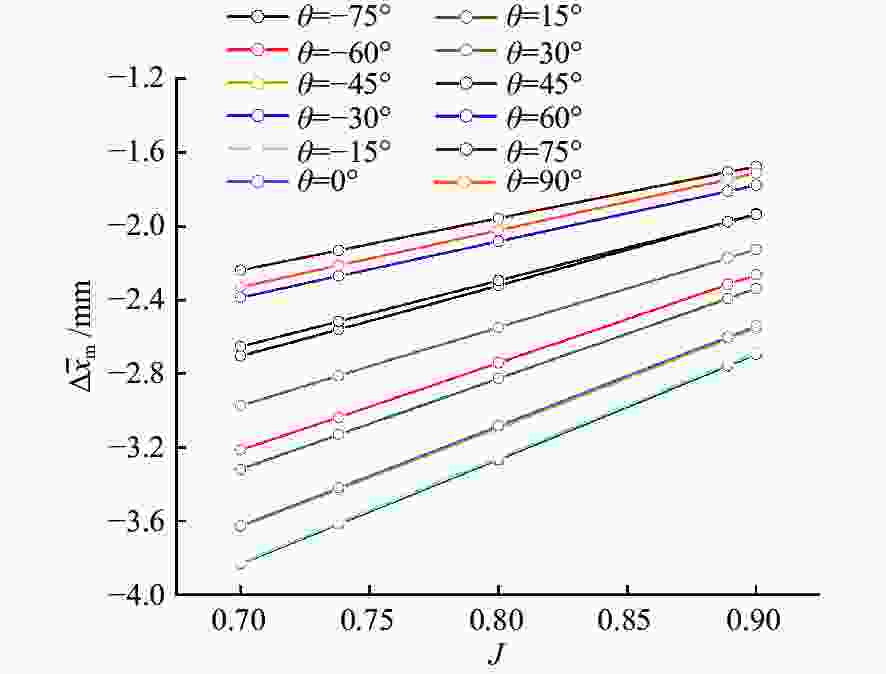
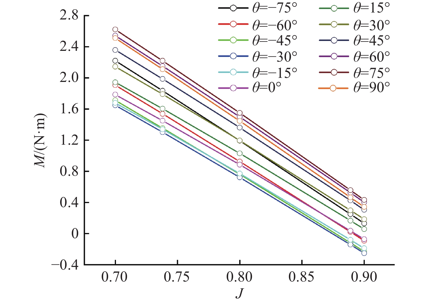
      结果  数值计算结果表明,复合材料螺旋桨单桨叶推力系数及其推力系数差值与桨叶刚度之间呈现出较为同步的变化规律;在主方向弹性模量相同的情况下,正交碳纤维布铺设的复合材料螺旋桨的最小推力系数差值大于单向碳纤维布铺设的复合材料螺旋桨;当材料的弹性模量降低时,桨叶的刚度随之减小,且复合材料螺旋桨单桨叶推力系数及其推力系数差值也会随之减小;当桨叶的刚度较小时,复合材料螺旋桨能够更好地发挥自适应流场的优势,经弯扭耦合能产生更大的螺距变形,从而在高、低伴流区中产生较金属螺旋桨更小的周期性推力脉动。
      结论  所得结果可指导复合材料螺旋桨改善船艉水动力性能的优化设计。

     

    Abstract:
      Objectives  The bending-torsional coupling deformation degree of a composite propeller reflects the stiffness characteristics of the blade, which in turn have a certain correlation with its hydrodynamic performance. A fiber layer design for a composite propeller is optimized from the perspective of stiffness.
      Methods  Taking a DTMB 4383 composite propeller as the research object, based on the self-iterative algorithm of the fluid-structure interaction of the composite propeller, a numerical calculation method for the bending stiffness and torsional stiffness of the blade is constructed. The stiffness of the blade under different ply schemes is numerically calculated under the conditions of unidirectional carbon fiber cloth or orthogonal carbon fiber cloth laid on the blade, and the bending-torsional stiffness characteristics of the blade and its corresponding laws with hydrodynamic performance are studied.
      Results  The numerical calculation results show that the thrust coefficient of the single blade, the difference value of the thrust coefficient of the composite propeller, and the stiffness of the blade exhibit relatively synchronous change laws; under the same elastic modulus in the main direction, the minimum difference value of the thrust coefficient of the composite propeller with orthogonal carbon fiber cloth is greater than that with unidirectional carbon fiber cloth; when the elastic modulus of the material decreases, the stiffness of the blade decreases, and the thrust coefficient of the single blade and the difference value of the thrust coefficient of the composite propeller also decreases; when the stiffness of the blade is small, the composite propeller can give fuller play to the advantages of the adaptive flow field, and the bending-torsional coupling produces larger pitch deformation, resulting in a smaller periodic thrust ripple than that of a metal propeller in the high and low flow areas.
      Conclusions  The results of this paper can guide the optimization design of composite propellers by improving the hydrodynamic performance of the stern.

     

/

返回文章
返回