静压下考虑腔压的吸声覆盖层吸声性能分析

Sound absorption performance analysis of anechoic coating under hydrostatic pressure considering cavity pressure

  • 摘要:
      目的  潜艇外壳表面敷设的水下吸声覆盖层在高静水压力作用挤压后的形状、材料参数都会发生改变,使吸声性能受到较大影响,故研究此影响对于潜艇声隐身性具有重要意义。
      方法  考虑空腔内压力对静压下覆盖层形变的作用及吸声性能的影响,基于轴对称有限元仿真,计算含圆柱形空腔水下吸声覆盖层的单胞变形;将形变量导入吸声覆盖层的一维理论模型,得到覆盖层的理论吸声系数曲线;利用形变后的几何模型开展声−固耦合对比分析,验证理论解析与数值仿真两种方法求解吸声系数的有效性。
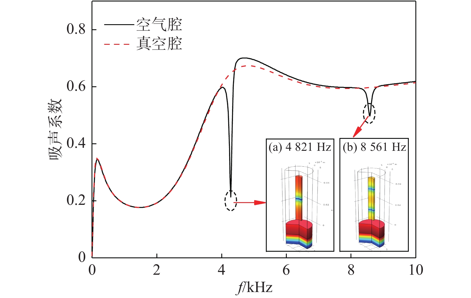
      结果  结果表明,不考虑材料参数变化,在静压下吸声覆盖层发生了单胞轴向和空腔径向收缩,吸声系数曲线向高频移动,腔压抵抗了静压下的收缩,减弱了曲线向高频移动的趋势,而吸声曲线上出现的尖锐谷值则为激起的腔内空气声腔模态所致。
      结论  研究结果对于静压下吸声覆盖层吸声性能的预报具有一定的参考价值。

     

    Abstract:
      Objectives  An underwater anechoic coating layer laid on the hull surface of a submarine is squeezed under the action of high hydrostatic pressure, changing its shape and material parameters, which has a great impact on sound absorption performance. Therefore, studying the sound absorption performance of underwater anechoic coating layers under high hydrostatic pressure is of great significance for the stealth performance of submarines.
      Methods  Considering the effects of cavity pressure on deformation and sound absorption performance of the annechoic coating layer under hydrostatic pressure, this paper uses axisymmetric finite element simulation to calculate the deformation of single cell with a cylindrical cavity, and the sound absorption coefficient curve is then obtained by converting the deformations into one-dimensional theoretical model. After that, structural-acoustic coupling analysis with the geometric model after deformation is carried out to verify the effectiveness of theorectical and numerical approaches for soloving the sound absorption coefficient.
      Results  The results indicate that, without considering the changes of material parameters, the unit cells of the layer shrink axially and the cavity shrinks radially under hydrostatic pressure, while the sound absorption curve moves towards high frequency. The air pressure inside the cavity resists contraction under the action of hydrostatic pressure, weakening the trend of moving to high frequency. The sharp valley in the sound absorption curve is caused by the excitation of cavity mode.
      Conclusions  The results of this study can provide valuable references for predicting the sound absorption performance of an anechoic coating layer under hydrostatic pressure.

     

/

返回文章
返回